


壓焊鋼格板結構圖
鋼格板型號表示方法
鋼格板的型號,根據承載扁鋼規格、承載扁鋼與橫桿的組合間距、鋼格板的結構形式,承載扁鋼外型、以及表面處理的狀態等不同,形成多種規格,型號表示方法如圖所示

鋼格板產品系列
系列一:該系列鋼格板扁鋼的中心間距是30mm 由于鋼格板的承受力是扁鋼決定的,該系列的鋼格板間距最小,承受力最強。應用最廣泛。如圖所示
系列二:該系列鋼格板扁鋼的中心間距是40mm 它比系列一的鋼格板用料少,重量輕,性價比高。主要用與跨度比較小的場合,是最理想的類型。如圖所示


鋼格板的特點
u節省材料:承受相同荷載條件下最省材料的方式,相應地,可減少支承結構的材料。
u減少投資:省材料,省人工,省工期,免清潔和維護。
u施工簡便:在預安裝好的支承上用螺栓夾固定或焊接固定,一人即可完成。
u節省工期:產品無需現場再加工,安裝非常迅速。
u經久耐用:出廠前經熱浸鋅防腐處理,耐沖擊和重壓能力強。
u現代氣派:外形美觀,設計規范,通風透光,給人以整體流暢的現代感受。
u結構輕便:用材少,結構輕,且易于吊裝。
u防積污物:不積雨水,冰雪和灰塵。
u減少風阻:因通風好,遇大風風阻小,減少風力破壞。
u設計簡便:無需小支梁,結構簡單,設計簡化;無需設計鋼格板詳圖,只注明型號即可,廠方可代客戶設計排圖。
鋼格板重量計算公式
鋼格板的重量是指經過包邊和表面處理(非表面處理的除外)后的理論重量。由于包邊、開孔和切口的不同,實際重量與理論重量會出現差異。在工業平臺鋼格板自重計算及鋼格板交付結算中,統一以理論重量為計算依據。對于長度小于1米的鋼格板例如溝蓋板或者需要作特殊包邊的鋼格板,由于包邊板的增加,重量會隨著增加。用扁鋼包邊,鋼格板長度不小于1米時,按下面公式計算鋼格板理論重量:
Wt=(b1t1N1+b2t2N2+2b3t3)ρµ×10-6………………
式中: Wt—鋼格板重量,單位為千克每平方米(kg/m2); t1—承載扁鋼寬度,單位為毫米(mm); b1—承載扁鋼厚度,單位為毫米(mm); N1—每米鋼格板中承載扁鋼條數; t2—橫桿寬度,單位為毫米(mm); b2—橫桿厚度,單位為毫米(mm); N2—每米鋼格板中橫桿條數; t3—包邊扁鋼寬度,單位為毫米(mm); b3--包邊扁鋼厚度,單位為毫米(mm); ρ—材料密度,單位為千克每立方米(kg/m3);鋼材密度按7850kg/m3計算; µ--表面處理增重系數;熱浸鋅增重按1.06計算
鋼格板的面積計算
1、在沒有圖紙、按用戶規定尺寸加工的,面積為實際交付鋼格板的數量乘以寬度和長度的總 和,它包含開孔和切口部分。
2、提供圖紙為用戶設計的,面積按圖紙上總的外圍尺寸計算,它包括開孔和切口部分。
3、對于異鋼格板,如圖所示面積為寬(W)×長(L),不扣除切口部分。

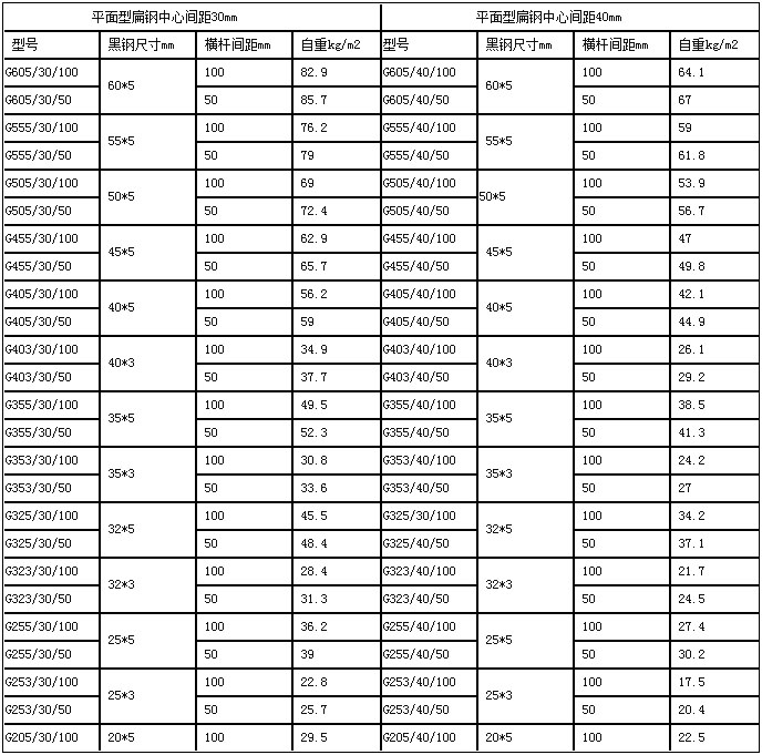
鋼格板常用型號重量表



